مولد التيار المتردد ( الدينامو )(المولد الكهربائي)
ملاحظة / يوجد شرح لهذا الدرس ( فيديو ) مع محاكاة متحركة ، أسفل هذه النافذة
مولد التيار المتردد ( الدينامو ) المولد الكهربائي
في الدرس السابق تعرفنا على فكرة صناعة الدينامو ( مولد التيار المتردد ) وفي هذا الدرس سوف ندرس مولد التيار المتردد وسنتعرف على التفاصيل التالية :
ــــــــــــــــــــــــــــــــــــــــــــــــــــــــــــــــــ
تعريفه : هو
جهاز يستخدم لتحويل الطاقة الحركية (الميكانيكية ) إلى
طاقة كهربائية .
الغرض منه : تحويل
الطاقة الحركية (الميكانيكية ) إلى طاقة كهربائية
بالحث الكهرومغناطيسي .
بالحث الكهرومغناطيسي .
فكرة عمله: مبنية
على ظاهرة الحث الكهرومغناطيسي , فإذا أدير ملف
بحيث يقطع خطوط المجال المغناطيسي فإنه يتولد بين طرفيه
قوة دافعة كهربائية تأثيرية نحصل منها على تيار تأثيري .
بحيث يقطع خطوط المجال المغناطيسي فإنه يتولد بين طرفيه
قوة دافعة كهربائية تأثيرية نحصل منها على تيار تأثيري .
استخدامه: يستخدم في توليد
الطاقة الكهربائية بغرض الاستفادة منها في الحياة
تركيبه : يتركب في أبسط
صوره من :
1ـ ملف الدينامو(سلك نحاسي معزول يلف
طولياً حول قلب من الحديد المطاوع على شكل صفائح معزولة ( علل )
2ـ قطبي المجال المغناطيسي .
3ـ حلقتان معدنيتان مركبتان على محور الدوران تدوران
معه.
4ـ فرشاتان من الكربون تلامسان
الحلقتان المعدنيتان وظيفتهما نقل التيار إلى الدائرة
الخارجية.
تعـلــيــــلات
س: يكون القلب الحديدي للدينامو على شكل صفائح معزولة عن
بعضها؟
جـ : وذلك للحد من التيارات الدوامية.
س: تصنع الفرشاتان في الدينامو من الكربون؟
جـ: لأن الكربون يتحمل درجات الحرارة
العالية الناتجة عن الاحتكاك ولأنها مادة شبه موصلة يزداد توصيلها للتيار بارتفاع
درجة حرارتها.
ــــــــــــــــــــــــــــــــــــــــــــــــــــــــــــــــــــــــــــــــــــــــــــــــــــــــــــــــ
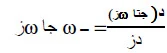
حساب قيمة القوة الدافعة الكهربائية اللحظية
المتولدة في ملف الدينامو
نفرض
أن ملف الدينامو به لفة واحدة وانه بدأ في الدوران من الوضع الذي فيه مستواه
عمودياً على اتجاه خطوط المجال المغناطيسي و بسرعة زاوية منتظمة مقدارها w وأن كثافة الفيض للمجال
المغناطيسي ( ب )
|
|
في الفيض المغناطيسي المولد لها . من ( 1 ) نعوض في ( 2 ) فنجد أن
حيث : (ب جتاwز) هي مركبة كثافة الفيض المغناطيسي العمودية على مستوى الملف ، ( س ) مساحة الملف . كما في الشكل (أ)
الإشارة السالبة تدل على أن القوة الدافعة الكهربائية تولد فيضاً مغناطيسياً يُضاد التغير
وعندما
يكون الملف مكون من عدد ( ن ) من اللفات
فإن العلاقة ( 4 ) تصبح
ق.د.كاللحظية = ن س ب w جا wز ............................ ( 5 )
أي أن
القوة الدافعة الكهربائية التأثيرية المتولدة في ملف الدينامو يمثلها منحنى جيبي .
وتكون
القوة الدافعة الكهربائية التأثيرية أكبر
ما يمكن عندما تكون جا wز =
1
|
شكل (ب)
|
قع = ن س ب w ........................
( 6 )
حيث قع هي النهاية العظمى
للقوة الدافعة الكهربائية التأثيرية المتولدة في ملف المولد .
وبالتعويض من (6) في (5) تصبح العلاقة
ق.د.ك اللحظية
= قع جا wز
............................. ( 7 )
س: ما
هي العوامل التي تتوقف عليها القوة الدافعة الكهربائية اللحظية المتولدة في ملف
الدينامو؟
العوامل
التي تتوقف عليها القوة الدافعة الكهربائية التأثيرية المتولدة في ملف الدينامو :-
1-
السرعة الزاوية (
w ) حيث
تتناسب القوة الدافعة الكهربائية تناسباً طردياً معها
2-
كثافة الفيض ( ب
) حيث تتناسب القوة الدافعة الكهربائية تناسباً طردياً معها
3-
مساحة أحد وجهي الملف
( س ) حيث تتناسب القوة الدافعة الكهربائية تناسباً طردياً معها
4-
عدد اللفات ( ن )
حيث تتناسب القوة الدافعة الكهربائية تناسباً طردياً معها
5-
جيب الزاوية بين
وضع الملف في هذه اللحظة ووضعه عندما كان مستواه عمودياً على اتجاه المجال .
س:مقدار القوة الدافعة الكهربائية التأثيرية عند أية
لحظة أثناء دوران ملف المولد يتناسب طردياً مع
( السرعة الخطية ـ
الزمن ـ جتاwز ـ
مساحة أحد وجهي الملف )
شرح مولد التيار المتردد ـ فيديو





